数据处理过程中,好的数据展示,可以帮助我们更好的理解数据,发现数据之间的关系,记录下各种常见的绘图方式。
结果示例
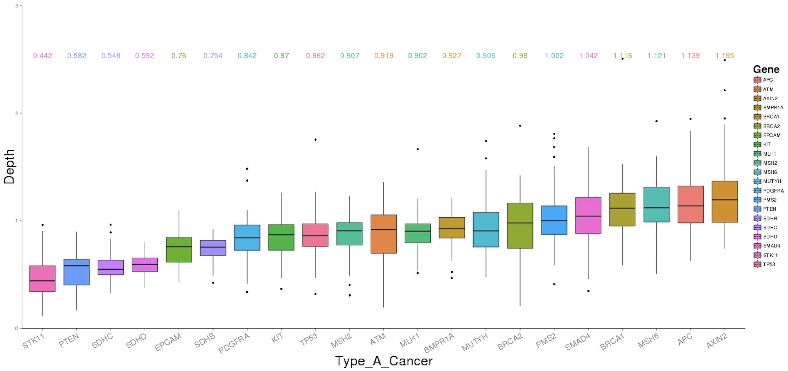
箱线图上方标注的为每个样品对应的中位数,可以根据需要进行调整。
绘图命令
1 | Rscript ../ggplot_boxplot.R -i ggplot_boxplot.demo.data -o ggplot_boxplot.demo.data.png -X "gene" -Y "depth" |
输入文件
1 | Cluster Value ID |
程序目录
1 | library('getopt'); |